近日,公司魏洋教授课题组在土木工程领域国际顶级期刊《Engineering Structures》上发表了重要研究成果(A novel seawater and sea sand concrete-filled CFRP-carbon steel composite tube column: Seismic behavior and finite element analysis;论文链接https://doi.org/10.1016/ j.engstruct.2022.114872)。博士生张依睿为第一作者,魏洋教授为通讯作者,公司为第一完成单位,同时该项研究得到了新加坡南洋理工大学Li Bing教授的合作支持。该成果得到了国家自然科学基金和江苏省重点研究计划等资助。
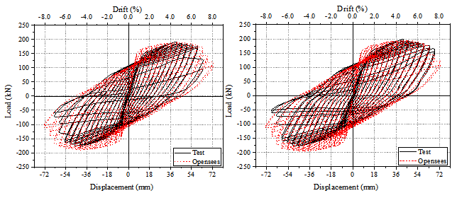
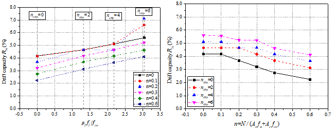
论文提出了一种由CFRP-碳钢复合管和海水海砂混凝土(SSC)组成的新型CFRP-钢复合管海水海砂混凝土柱(SFSCT),该结构利用海水和海砂资源,采用碳纤维布隔离钢管上氯离子的腐蚀,并进行了8根复合柱的抗震试验研究。CFRP和碳钢对混凝土的双重约束效果使结构的抗震性能得到了大大提升,从新建结构和局部加固两个角度出发,研究了CFRP的缠绕层数和方向以及轴压比对抗震性能的定量影响。试验结果表明,SFSCT柱的破坏呈现典型的压弯破坏模式。与钢管混凝土对比试验结果相比,环向膨胀变形大大减小,抗弯强度和极限位移显著得到提升。通过有限元平台建立了纤维模型,多角度评估了钢管和CFRP对抗震性能的影响。通过试验和有限元结果分析,研究了位移比与轴压比和约束水平之间的关系,最后提出了一种预测SFSCT柱位移比的设计方法。
该研究为新型CFRP-钢复合管海水海砂混凝土结构的工程应用奠定一定的理论基础。




投稿:魏洋、李强 编辑:丁志锋




